18.642 | Fall 2024 | Undergraduate

Topics in Mathematics with Applications in Finance

Course Description

This is an updated version of 18.S096 Topics in Mathematics with Applications in Finance from Fall 2013. Please visit the 18.S096 site for more materials and lecture recordings. We are planning to add a trading game as an additional learning resource. The link will be published on this page. Stay tuned!

The purpose of …

This is an updated version of 18.S096 Topics in Mathematics with Applications in Finance from Fall 2013. Please visit the 18.S096 site for more materials and lecture recordings. We are planning to add a trading game as an additional learning resource. The link will be published on this page. Stay tuned!

The purpose of the class is to expose undergraduate and graduate students to the mathematical concepts and techniques used in the financial industry. The course will consist of a set of mathematics lectures on topics in linear algebra, probability, statistics, stochastic processes, and numerical methods. Mathematics lectures will be mixed with lectures illustrating the corresponding application in the financial industry. MIT mathematicians will teach the mathematics part while industry professionals will give the lectures on applications in finance.

Learning Resource Types
Lecture Notes
Lecture Videos
Problem Sets
Activity Assignments
Projects
Readings
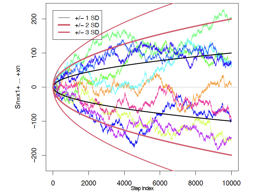
Multiple colored lines represent different random walk trajectories.
A random walk (martingale) with IID Bernoulli steps (+1, −1) over 10,000 steps. (Image courtesy of Dr. Peter Kempthorne.)